Table of Contents
Redshift Surveys
2dF Galaxy Redshift Survey
To actually measure the two-point correlation function $\xi(r)$ and identify the Baryon Acoustic Oscillation (BAO) scale, cosmologists require massive, three-dimensional maps of the universe. One of the pioneering efforts to build such a map was theTwo-degree-Field Galaxy Redshift Survey (2dFGRS).
Conducted between 1997 and 2002 by the Anglo-Australian Observatory (AAO), the 2dFGRS was a watershed moment in observational cosmology. Alongside the Sloan Digital Sky Survey (SDSS), it ushered in the era of precision cosmology by mapping the local universe on an unprecedented scale.
The Instrument and Methodology:
Prior to the late 1990s, measuring the redshift of a galaxy (to determine its distance) was a painstaking, one-at-a-time process. The 2dFGRS utilized a revolutionary multi-object spectrograph mounted on the 3.9-meter Anglo-Australian Telescope.
The instrument possessed a 2-degree field of view on the sky (roughly four times the diameter of the full moon) and utilized a robotic arm to position 400 optical fibers onto the focal plane. Each fiber was aligned with a pre-selected target galaxy. This allowed astronomers to capture the spectra—and thus the redshifts—of 400 galaxies simultaneously in a single observation.
See how it works: https://www.youtube.com/watch?v=qOtkI4HYzTk
Survey Scope and Geometry:
The survey ultimately obtained reliable redshifts for 221,414 galaxies. To avoid the obscuring dust and stars of our own Milky Way galaxy, the survey targeted two primary regions:
* An equatorial strip near the North Galactic Pole.
* A contiguous strip near the South Galactic Pole.
The survey probed galaxies out to a redshift of $z \approx 0.3$, with a median redshift of $z \approx 0.11$. This provided a comprehensive snapshot of the large-scale structure of the relatively local, modern universe.
Cosmological Significance and Key Results:
The 2dFGRS provided the astrophysics community with several foundational results that cemented the standard $\Lambda$CDM (Cold Dark Matter with a Cosmological Constant) model:
1. Mapping the Cosmic Web: The 2dF slice maps provided stunning visual confirmation of the “cosmic web.” Galaxies were not distributed uniformly, nor were they clumped randomly; they formed a vast network of dense nodes (superclusters), long connecting filaments, and vast, empty voids.
2. Matter Density: By analyzing the way galaxies clustered and incorporating redshift-space distortions (the apparent squashing of galaxy clusters due to their peculiar velocities), the 2dF team precisely constrained the total matter density parameter of the universe, $\Omega_m$, finding it to be roughly 30% of the critical density.
3. Upper Limit on Neutrino Mass: The survey placed some of the first stringent cosmological limits on the total mass of neutrino species, as massive neutrinos would “free-stream” in the early universe and wash out the formation of structure on small scales.
2dFGRS and Baryon Acoustic Oscillations:
Crucially for this lecture, the 2dFGRS was one of the first two surveys to definitively detect the BAO signal.
In 2005, two independent papers were published nearly simultaneously: one analyzing data from SDSS, and one analyzing the power spectrum $P(k)$ of the 2dFGRS data. The 2dFGRS team measured the power spectrum of their hundreds of thousands of galaxies and identified the subtle, wiggles in $P(k)$ that correspond to the Fourier-space equivalent of the BAO peak in the correlation function.
This detection proved that the sound waves generated in the primordial plasma (seen in the Cosmic Microwave Background at $z \approx 1100$) had successfully translated into the physical clustering of galaxies billions of years later at $z \approx 0.11$.
SDSS BAO Survey
While the 2dFGRS provided one of the first co-detections of the Baryon Acoustic Oscillation (BAO) signal, it was the Sloan Digital Sky Survey (SDSS) that transformed BAO from a fascinating theoretical prediction into the premier tool for precision cosmology. Operating out of the Apache Point Observatory in New Mexico, SDSS is a multi-generational project that has systematically mapped the universe over the last two decades.
For graduate students studying large-scale structure, understanding the progression of SDSS is crucial, as its distinct phases introduced new observational techniques and targeted different cosmic epochs.
About SDSS: https://www.youtube.com/watch?v=UD6cOMpJlZU
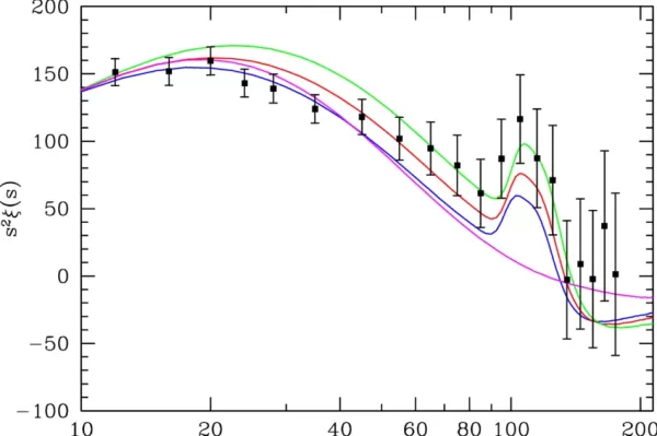
The First Detection: SDSS-I and II (2000–2008): The initial phases of SDSS utilized a 2.5-meter telescope equipped with a 640-fiber spectrograph. In 2005, alongside the 2dFGRS announcement, the SDSS team (led by Daniel Eisenstein) published a definitive detection of the BAO peak in the configuration space two-point correlation function, $\xi(r)$.
To achieve this, SDSS targeted a specific class of objects called Luminous Red Galaxies (LRGs). LRGs are massive, old, elliptical galaxies. They are highly luminous, meaning they can be seen at great distances. More importantly, they reside in the most massive dark matter halos, meaning they are highly “biased” tracers of the underlying matter distribution ($b > 2$). This amplifies the clustering signal, making the BAO peak easier to detect against the statistical noise.
The 2005 detection localized the BAO peak at a comoving separation of approximately $100\ h^{-1}$ Mpc (equivalent to $r_s \approx 147$ Mpc) using a sample of about 46,000 LRGs out to $z \approx 0.47$.
The Baryon Oscillation Spectroscopic Survey (SDSS-III, 2009–2014): Recognizing the power of BAO as a dark energy probe, SDSS-III launched BOSS, a survey explicitly designed to measure the BAO scale to an unprecedented 1% precision. The spectrograph was upgraded to 1,000 fibers to drastically increase the survey speed.
BOSS tackled the BAO measurement on two distinct frontiers:
1. The Low-Redshift Universe ($z < 0.7$): BOSS measured spectra for 1.5 million LRGs, vastly increasing the volume mapped by SDSS-I/II and providing incredibly tight constraints on the angular diameter distance $D_A(z)$ and the Hubble parameter $H(z)$. 2. The High-Redshift Universe ($z > 2.1$): At redshifts beyond $z \sim 1$, galaxies become too faint to observe efficiently in massive numbers. BOSS pioneered a revolutionary technique: using the Lyman-$\alpha$ Forest of distant quasars.
The Lyman-$\alpha$ Forest Technique:
Instead of using galaxies as discrete point masses, BOSS observed distant, highly luminous quasars. As the light from a quasar travels toward Earth, it passes through intervening clouds of neutral hydrogen gas. Each cloud absorbs a specific fraction of the quasar’s light at the Lyman-$\alpha$ transition wavelength ($121.6$ nm in the rest frame of the cloud). Because the clouds are at different redshifts, this absorption creates a “forest” of lines in the quasar’s spectrum.
The transmitted flux fraction, $F$, is related to the optical depth, $\tau$, of the hydrogen gas: $$F = \exp(-\tau)$$
By measuring the correlation function of the flux transmission $\xi_F(r)$ between thousands of different quasar sightlines, BOSS successfully detected the BAO scale in the continuous intergalactic medium at $z \approx 2.5$, an epoch before dark energy dominated the universe.
eBOSS: Extended BOSS (SDSS-IV, 2014–2020)
While BOSS mapped the low-redshift (galaxy) and high-redshift (Lyman-$\alpha$) universe, it left a “redshift desert” in the middle ($0.6 < z < 2.2$). This epoch is critical, as it is exactly when the universe transitioned from matter-dominated deceleration to dark-energy-dominated acceleration.
eBOSS was designed to fill this gap using new tracers of the matter density field:
* Emission Line Galaxies (ELGs): Young, star-forming galaxies that exhibit strong emission lines (like [O II]). These are easier to detect at intermediate redshifts than the passive LRGs.
* Quasars as Point Sources: In addition to using quasars as backlights for the Lyman-$\alpha$ forest, eBOSS used the quasars themselves as discrete tracers of the matter distribution to map the $0.8 < z < 2.2$ regime.
BAO Reconstruction:
A vital mathematical and computational advancement popularized during the SDSS BOSS era is BAO Reconstruction.
Over billions of years, non-linear gravitational collapse and the peculiar velocities of galaxies (bulk flows) smear out the primordial BAO peak in the correlation function, degrading the precision of the standard ruler.
Reconstruction attempts to reverse this cosmic evolution. By taking the observed smoothed density field $\delta(\mathbf{x})$, physicists use the Zel’dovich approximation to estimate the displacement field $\boldsymbol{\Psi}$ that moved galaxies from their initial Lagrangian positions $\mathbf{q}$ to their observed Eulerian positions $\mathbf{x}$:
$$\mathbf{x} = \mathbf{q} + \boldsymbol{\Psi}(\mathbf{q})$$
By moving the observed galaxies backward along these estimated displacement vectors, the non-linear smearing is partially undone. This process drastically sharpens the BAO peak in $\xi(r)$, recovering lost information and significantly improving the statistical constraints on cosmological parameters.
DESI BAO Survey
As we move to the present day in our lecture, we enter the era of “Stage-IV” dark energy experiments. The current flagship ground-based BAO experiment is the Dark Energy Spectroscopic Instrument (DESI), which represents a massive leap in survey speed and mapping volume over its predecessors like SDSS and BOSS.
Operating from the Mayall 4-meter telescope at Kitt Peak National Observatory in Arizona, DESI began its main survey in 2021. Its primary objective is to measure the expansion history of the universe with exquisite precision to constrain the nature of Dark Energy.
The Instrument: A Marvel of Engineering:
The leap in efficiency achieved by DESI comes from its focal plane. Unlike older surveys that required astronomers to manually plug optical fibers into custom-drilled metal plates for each observation, DESI features a focal plane packed with 5,000 robotic fiber positioners.
These automated micromotors can reconfigure the arrangement of the 5,000 fibers in a matter of minutes, aligning them with new target galaxies to an accuracy of a few microns. The light from these fibers is fed into ten spectrographs, each split into three spectral bands (blue, red, and near-infrared). This allows DESI to capture the spectra of 5,000 targets simultaneously, enabling it to map tens of millions of galaxies in just five years.
DESI focal plane: https://www.youtube.com/watch?v=g1LVMox0KNc&t=50s
The Tracers: A Multi-Target Strategy:
To map the universe continuously from the local volume out to the era of matter domination, DESI utilizes a multi-target strategy, targeting different classes of objects at different redshifts:
1. Bright Galaxy Sample (BGS): Probes the low-redshift universe ($z < 0.4$).
2. Luminous Red Galaxies (LRGs): Extends from $0.4 < z < 0.8$.
3. Emission Line Galaxies (ELGs) Star-forming galaxies mapped from $0.8 < z < 1.6$, representing the bulk of DESI’s target catalog.
4. Quasars (QSOs): Used both as discrete density tracers ($1.6 < z < 2.1$) and as backlights for the Lyman-$\alpha$ forest ($z > 2.1$).
DESI Year 1 (Y1) Results and Cosmological Constraints: In April 2024, the DESI collaboration released its Year 1 (Y1) cosmology results, analyzing a map comprising over 6 million extragalactic objects—already the largest and most precise 3D map of the universe ever constructed.
The DESI Y1 BAO measurements successfully isolated the comoving sound horizon scale across seven distinct redshift bins ranging from $z = 0.1$ to $z = 4.2$.
On its own, the DESI BAO data proved highly consistent with a spatially flat $\Lambda$CDM universe, yielding a tightly constrained matter density parameter: $$\Omega_m = 0.295 \pm 0.015$$
When combined with Cosmic Microwave Background (CMB) data from the Planck satellite, the derived Hubble constant is measured at: $$H_0 = 67.97 \pm 0.38 \text{ km s}^{-1} \text{ Mpc}^{-1}$$
The Evolving Equation of State: A Hint of New Physics?
The most highly discussed outcome of the DESI Y1 data release pertained to the equation of state of Dark Energy, denoted as $w$. In the standard $\Lambda$CDM model, dark energy is a cosmological constant ($\Lambda$), meaning its energy density does not change as the universe expands. For a cosmological constant, the equation of state is exactly:
$$w = \frac{p}{\rho c^2} = -1$$
However, cosmologists test alternative models where dark energy is dynamic (e.g., quintessence), meaning its density evolves over time. To test this, researchers often employ the Chevallier-Polarski-Linder (CPL) parameterization, which models the equation of state as a function of the scale factor $a$ (where $a = 1/(1+z)$):
$$w(a) = w_0 + w_a (1 - a)$$
Here:
* $w_0$ is the current value of the dark energy equation of state at $z = 0$.
* $w_a$ dictates how quickly $w$ evolves with time.
* (Note: $\Lambda$CDM strictly requires $w_0 = -1$ and $w_a = 0$).
When the DESI collaboration combined their Y1 BAO measurements with CMB data and Type Ia Supernova data, the statistical fit preferred a parameter space where $w_0 > -1$ and $w_a < 0$.
Depending on the specific supernova dataset used (e.g., Pantheon+, Union3, or DES-SN5YR), the combined data deviated from the standard $\Lambda$CDM prediction by roughly $2.5\sigma$ to $3.9\sigma$.
While this does not meet the $5\sigma$ threshold required to officially claim a “discovery” of new physics, it provided the cosmological community with a tantalizing hint that dark energy might be weakening over cosmic time. Future data releases from DESI (spanning Years 3 and 5) will determine whether this deviation is a statistical fluctuation, an unrecognized systematic error, or the first definitive crack in the $\Lambda$CDM model.





